Les astronomes chinois ont analysé les données de l'observatoire Swift de la NASA, qui a observé de manière approfondie une explosion du système variable cataclysmique appelé GK Persei. Résultats de l'étude, publiée le 20 février sur le arxiv Préprint Server, jette plus de lumière sur la nature de ce système.
Les variables cataclysmiques (CVS) sont des systèmes d'étoiles binaires constitués d'une matière primaire naine blanche à partir d'un compagnon d'étoile normal. Ils augmentent irrégulièrement de la luminosité d'un grand facteur, puis reculent à un état de repos. Ces binaires ont été trouvés dans de nombreux environnements, tels que le centre de la galaxie de la Voie lactée, du quartier solaire et dans des grappes ouvertes et globulaires.
Étant donné que dans CVS, le transfert de masse de l'étoile complémentaire se produit souvent à travers un disque d'accrétion autour du nain blanc et, dans certains cas, l'instabilité thermique du disque déclenche une explosion connue sous le nom de nain Nova (DN). Ces novae sont des CV qui subissent des explosions semi-périodiques.
Les polaires sont une sous-classe de variables cataclysmiques distinguées des autres CV par la présence d'un champ magnétique très fort dans leurs nains blancs. Dans les polaires intermédiaires (IPS), la naine blanche magnétique tourne de manière asynchrone avec la période orbitale du système et produit donc une oscillation rapide avec la période de spin.
Situé à environ 1 400 années-lumière, GK Persei (également connue sous le nom de 0327 + 43 ou Nova Persei 1901) est une variable cataclysmique composée d'une naine blanche magnétisée (WD) et d'une étoile de subdigante de type K2 avec une masse de 0,25 à 0,48 solaire K2 masses. Il est classé comme une IP et la force du champ magnétique autour du WD est estimée à environ 0,5 mg.
GK Persei a subi une explosion de Nova classique en 1901 et est donc la deuxième nova la plus proche détectée. Le premier comportement DN de ce système a été observé en 1948, et depuis lors, de nombreuses explosions DN de cette source ont été identifiées, y compris les plus récentes en 2010, 2015 et 2018.
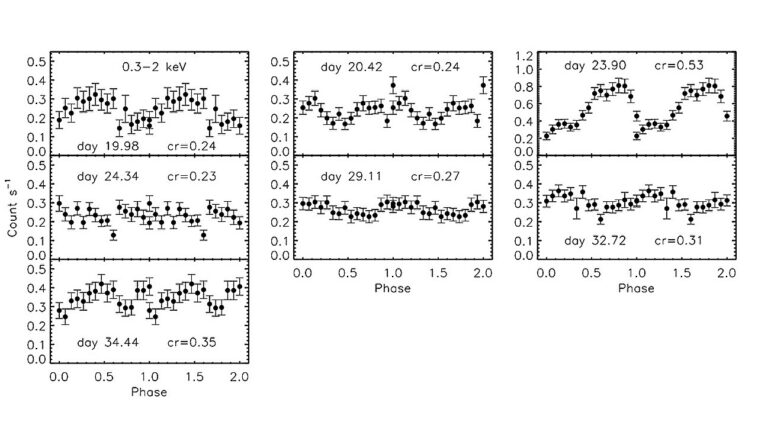
Une équipe d'astronomes, dirigée par SongPeng PEI de l'Université normale de Liupanshui en Chine, s'est concentrée sur l'éclat de GK Persei qui a eu lieu il y a 15 ans. Ils ont analysé des données rapides couvrant 1,95 jours après l'éruption de 2010 et se poursuivant jusqu'à 13,9 jours avant le maximum de l'explosion pour étudier l'évolution de ses courbes de lumière X et spectres.
« Grâce aux observations des rayons X et des UV de l'explosion de 2010, nous avons fait des progrès significatifs dans la compréhension de la nature IP de ce système, en particulier son comportement de l'explosion de dn rare dans un CV magnétique qui subit également des événements de Nova classiques », ont expliqué les chercheurs .
L'étude a révélé que le spectre des rayons X de GK Persei présente un niveau élevé de complexité. L'analyse de synchronisation effectuée par l'équipe de PEI suggère la présence d'au moins deux sources distinctes d'émission de rayons X: l'une produisant des rayons X durs (2,0–10 keV) et l'autre émettant dans la gamme de rayons X doux (0,3–2,0 keV) .
En outre, l'étude a détecté une période de spin WD d'environ 351,32 secondes dans la plage de 2 à 10 keV lors de l'éclatement de 2010. Une modulation de spin dans la bande d'énergie plus douce (0,3 à 2 keV) a également été détectée dans la courbe lumineuse des observations en seconde période (non observée dans les explosions 2015 et 2018), mais avec une amplitude plus faible que dans la gamme 2 à 10 keV.
De plus, les astronomes ont constaté que le taux d'accrétion de masse dans GK Persei varie considérablement lors de différentes explosions DN, étant donné que les valeurs obtenues pour les explosions de 2010 et 2018 se sont avérées être un ordre de grandeur inférieur à celles dérivées pour l'explosion de 2015.
Selon les auteurs de l'article, les résultats indiquent que l'émission de rayons X douce dans GK Persei peut provenir en partie près des pôles magnétiques et en partie à partir d'un vent ou d'un matériau circonsellaire.


