Selon les prédictions théoriques, à moins d'un million de secondes après le Big Bang, les nucléons ne s'étaient pas encore formés et la matière existait comme une « soupe » chaude et dense composée de quarks et de glluons en mouvement libre. Cet état de matière est connu sous le nom de plasma de quark-gluon (QGP). Trouver des preuves définitives de l'existence de QGP est cruciale pour comprendre l'évolution cosmique.
Pendant des années, la mise à l'échelle du niveau du quark (NCQ) du nombre de constituts a été largement considérée comme une preuve clé de la formation de QGP. Maintenant, une nouvelle étude théorique publiée dans Lettres de physique Bdirigés par des chercheurs de l'Institut de physique moderne (IMP) de l'Académie chinoise des sciences (CAS), a révélé l'échec de la mise à l'échelle du NCQ dans la région à faible énergie, jetant un doute sur la compréhension traditionnelle de cette sonde QGP.
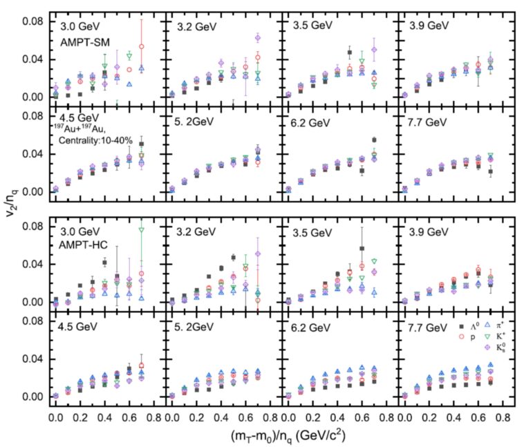
En utilisant un modèle de transport multiphase amélioré, les chercheurs ont sylumatiquement simulé des collisions de noyau d'or aux énergies du centre de masse entre 3,0 et 7,7 gigaev (GEV). Ils ont constaté que la mise à l'échelle NCQ échoue en dessous de 3,9 GEV, même lorsque des quarks libres sont produits en collisions. À mesure que l'énergie augmente au-dessus de 3,9 GEV, la mise à l'échelle se rétablit progressivement.
Une analyse plus approfondie a révélé que la cause de cette anomalie réside dans les deux contraintes dynamiques. La thermalisation insuffisante des quarks empêche le développement complet de l'écoulement elliptique, tandis que l'extrême rareté des quarks étranges conduit à des fluctuations statistiques dans les rendements du hadron.
« Cette constatation remet en question la fiabilité de la mise à l'échelle du NCQ comme critère définitif pour identifier la transition de phase QGP », a déclaré le professeur Yong Gaochan, auteur correspondant de l'étude.
De plus, les chercheurs ont simulé un scénario hadronique pur sans quarks libres. À une énergie de collision de 4,5 GEV, ils ont observé un phénomène d'ordre de masse: à la même vitesse cinétique, les particules plus légères présentent une préférence plus forte pour le débit collectif que les particules plus lourdes.
Cette simulation montre que les effets d'expansion de type fluide peuvent se produire même sans équilibre thermique complet, ce qui remet en question la vision conventionnelle selon laquelle l'ordre de masse doit provenir d'un comportement entièrement hydrodynamique.
« Cette étude révèle non seulement des processus dynamiques complexes dans la région de faible énergie, mais fournit également de nouvelles perspectives pour détecter précisément les Quark Matter et le point critique de la transition de phase aux futures installations scientifiques à grande échelle », a déclaré Yong.


