Une équipe internationale de chercheurs, dirigée par l'Université de Vienne et le Helmholtz Institute for Pharmaceutical Research Saarland, a découvert la Saarvienin A, un nouveau type d'antibiotique glycopeptidique.
Leurs résultats, maintenant publiés dans Édition internationale d'Angewandte Chemieintroduisez un composé avec une forte activité contre les souches bactériennes hautement résistantes.
Les infections résistantes aux antibiotiques sont en augmentation, menaçant de refaire des maladies courantes mortelles à nouveau. Without new antibiotics, experts warn that up to 100 million lives could be lost annually by 2050. In search for new compounds, researchers from several institutions, including the University of Vienna and the Helmholtz Institute for Pharmaceutical Research Saarland (HIPS), have turned to the study of actinobacteria—microorganisms that are well-known for living in unusual environments and producing antibiotics such as Vancomycine, rifamycine et Chelocidine.
Jaime Felipe Guerrero Garzón, de la Division de la pharmacognosie du Département de sciences pharmaceutiques de l'Université de Vienne, a découvert une forte activité antibiotique dans les extraits d'une souche d'amycolatopsis isolé d'une mine de terre rare chinoise, ce qui a provoqué une enquête plus approfondie.
Martin Zehl, chef du centre de spectrométrie de masse de l'Université de Vienne, a découvert que cette activité antibiotique était associée à un composé potentiellement nouveau des glycopeptides de classe. En utilisant la spectrométrie de masse et la spectroscopie de résonance magnétique nucléaire (RMN), l'équipe de collaboration des hanches a identifié une molécule complètement nouvelle: saarvienne A.
Enfreindre les règles
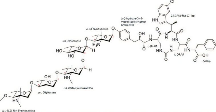
La caractéristique spéciale de la Saarvienin A est devenue claire au début: contrairement aux glycopeptides établis tels que la vancomycine, le nouveau composé ne se lie pas à la cible bactérienne typique impliquée dans la synthèse de la paroi cellulaire.
Au lieu de cela, il agit probablement à travers un mécanisme différent, non encore résolu. L'analyse structurelle a révélé une architecture distinctive: un noyau de peptide halogéné cyclisé par une liaison Ureido inhabituelle, décorée d'une chaîne de cinq sucre et d'unités aminosugaires, dont deux sont complètement nouvelles pour les produits naturels.
« Nous étions ravis de constater que la Saarvienin A ne rentre dans aucune catégorie connue », a déclaré Guerrero. « Sa structure unique pourrait ouvrir la voie aux antibiotiques que les bactéries n'ont jamais rencontrées auparavant. »
Une arme forte contre les bactéries résistantes
En étroite collaboration, des chercheurs de Hips, dirigés par l'auteur correspondant Rolf Müller, ont caractérisé l'activité biologique de la Saarvienin A, du nom de Saarbrücken et de Vienne. Les tests de la nouvelle molécule contre les bactéries se sont concentrés en particulier sur les agents pathogènes de l'eskape – un groupe notoire de superbacient connu pour échapper aux plus récents antibiotiques.
Le composé a montré une activité remarquable contre l'enterococcus résistant à la vancomycine et le Staphylococcus aureus résistant à la méthicilline (SARM), y compris 3 agents pathogènes Eskape et 26 isolats cliniques. Il a systématiquement surpassé la vancomycine, même contre des souches déjà résistantes à plusieurs autres antibiotiques.
« Découvrir un nouvel antibiotique n'est que le début », a déclaré l'auteur correspondant, Sergey B. Zotchev, de l'Université de Vienne. « Maintenant, nous sommes confrontés au défi fascinant de le raffiner dans un candidat médicamenteux adapté à une utilisation clinique. »
Étapes suivantes: Ingénierie de la clinique
Avec les gènes biosynthétiques pour la saarvienne a déjà identifié et cloné, l'équipe internationale prévoit d'utiliser la chimie médicinale et le génie biosynthétique pour optimiser la molécule. Un objectif clé est de réduire la cytotoxicité tout en maintenant l'activité antibactérienne.
Bien que les défis restent, la découverte de la saarvienne A offre un élan bien nécessaire dans la lutte contre la résistance aux antibiotiques et met en évidence le potentiel de sources naturelles inexplorées.


