in

Observations radio à ultra-bande démêle Mystère de la polarisation de la milliseconde pulsar

Observations radio à ultra-bande démêle Mystère de la polarisation de la milliseconde pulsar

Dans notre galaxie de la Voie lactée, en direction de la constellation vulpecula, un « phare » cosmique nommé PSR B1937 + 21 tournures à un rythme étonnant de 642 révolutions par seconde. Il émet des impulsions électromagnétiques qui rivalisent avec la précision des horloges atomiques.

Pour la première fois, une équipe de recherche chinoise a capturé le modèle de polarisation complet du PSR B1937 + 21 impulsion et interpulage principale de la fréquence. La découverte, rapportée dans Le journal astrophysiquefournit des preuves cruciales des mécanismes de rayonnement fonctionnant dans des conditions physiques extrêmes.

Utilisation du radio-télescope de 64 mètres Murriyang (Parkes) en Australie équipé d'un récepteur ultra-largeur, Ph.D. L'étudiant Wang Zhen de l'Observatoire astronomique du Xinjiang (XAO) de l'Académie chinoise des sciences (CAS), sous la direction de ses superviseurs, le professeur Yuan Jianping et le professeur Wen Zhigang, ont mené les trois années d'observations soutenues.

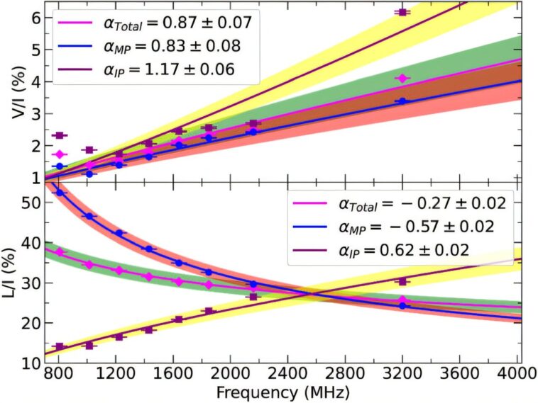
Les chercheurs ont dévoilé les secrets de rayonnement du PSR B1937 + 21: Le degré de polarisation linéaire de l'impulsion principale diminue à mesure que la fréquence augmente, tandis que l'interpulse montre la tendance opposée; Le degré de polarisation circulaire des deux régions d'émission se renforce avec une fréquence croissante; et le rapport d'intensité principal à interpulse suit un spectre de loi de puissance avec un indice de 0,52 ± 0,02.

Découvert en 1982 comme l'un des premiers pulsars en millisecondes, le PSR B1937 + 21 possède une période de rotation ultra-courte de 1,558 milliseconde. Sa force de champ magnétique est simplement un millième de dix-dix-millièmes de pulsars ordinaires, suggérant un spin-up possible via l'accrétion d'une étoile complémentaire.

Les chercheurs ont utilisé un système de réception ultra-largeur couvrant 704-4032 MHz, augmentant le ratio signal / bruit 20 en intégrant des données pluriannuelles. De plus, les mesures de densité de flux, l'analyse de la mesure de la dispersion (DM) et les mesures de rotation de Faraday ont été utilisées pour déduire les propriétés du milieu interstellaire intermédiaire.

Les résultats ont confirmé que la hauteur des émissions diminue à mesure que la fréquence augmente, qui se manifeste comme une largeur d'impulsion rétrécie. Les résultats suggèrent également que l'impulsion principale et l'interpulse proviennent probablement de différentes régions de la magnétosphère. Ces résultats fournissent un support observationnel pour le «modèle de rayonnement relativiste».

Ces résultats feront progresser la recherche sur la physique magnétosphérique de l'étoile neutronique et les mécanismes de rayonnement plasma, tout en offrant des références de synchronisation plus précises pour la détection des ondes gravitationnelles.

Le papillon Hofstadter: le graphène de bicouche torsadé révèle deux phases topologiques distinctes en interaction fortement

Le papillon Hofstadter: le graphène de bicouche torsadé révèle deux phases topologiques distinctes en interaction fortement

L'espace vaut-il le coût? Les experts en comptabilité disent que sa valeur ne peut être trouvée dans les feuilles de calcul

L'espace vaut-il le coût? Les experts en comptabilité disent que sa valeur ne peut être trouvée dans les feuilles de calcul