Des astronomes de l'Université de Keele au Royaume-Uni ont utilisé le télescope de chasse aux planètes TESS de la NASA pour étudier un binaire à éclipses totales connu sous le nom d'UZ Draconis. Résultats des nouvelles observations, publiés le 31 octobre sur le arXiv serveur de pré-impression, impose plus de contraintes sur les propriétés de ce système.
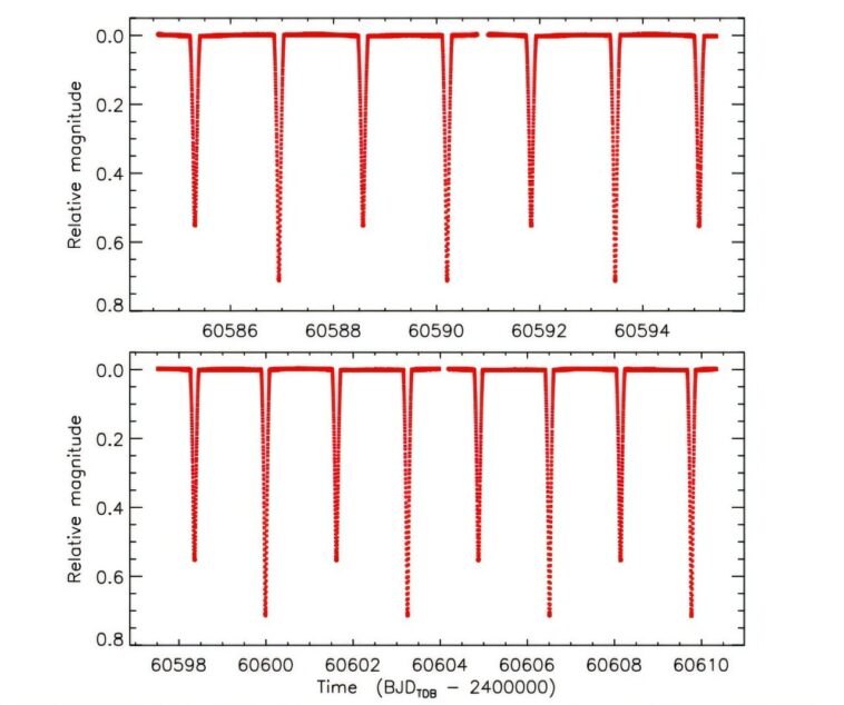
Les binaires à éclipses (EB) sont des systèmes constitués de deux étoiles qui gravitent l’une autour de l’autre dans un plan le long de notre ligne de mire. Par conséquent, les deux composantes s’éclipsent et transitent l’une l’autre, ce qui se voit dans les courbes de lumière de ces systèmes comme des périodes de lumière pratiquement constante, avec des baisses périodiques d’intensité.
Les binaires à éclipses détachées (dEB) sont cruciales pour les astronomes testant des modèles stellaires. Cela est dû au fait que les masses et les rayons des deux étoiles peuvent être directement mesurés à partir des courbes de lumière et de vitesse radiale du système. Parmi les dEB, les systèmes soumis à des éclipses totales sont particulièrement intéressants, car les temps de contact pendant l'éclipse permettent de mesurer les rayons des étoiles avec la plus haute précision.
UZ Draconis est l'un de ces dEB à éclipses totales, composé de deux étoiles de type F sur une orbite circulaire d'une période de 3,26 jours. Des observations antérieures d'UZ Draconis ont révélé que l'étoile primaire avait un rayon de 1,295 rayons solaires et une masse de 1,306 masses solaires.
Le rayon de l’étoile secondaire a été mesuré à 1,144 rayons solaires, tandis que sa masse a été estimée à 1,203. Les données du satellite Gaia de l'ESA ont donné une distance au système d'environ 604,37 années-lumière.
Aujourd'hui, une équipe d'astronomes dirigée par John Southworth de l'Université de Keele a revisité l'UZ Draconis avec TESS, dans l'espoir de déterminer les paramètres de ce système avec une précision plus élevée que jamais.
« Il a été observé par le Transiting Exoplanet Survey Satellite dans 41 secteurs, produisant un total de 664 809 mesures de flux de haute qualité. Nous modélisons ces données et publions les vitesses radiales pour déterminer les propriétés physiques du système avec une haute précision », expliquent les chercheurs.
Sur la base des nouvelles observations TESS, les masses des étoiles primaires et secondaires ont été déterminées comme étant respectivement de 1,291 et 1,193 masses solaires. Cela donne un rapport de masse du système à un niveau d'environ 0,92.
Les tailles des deux composants de l’UZ Draconis se sont également révélées légèrement inférieures à celles estimées précédemment. Le rayon de l'étoile primaire a été mesuré à 1,278 rayons solaires, tandis que le rayon de son compagnon a été calculé à 1,122 rayons solaires.
De plus, la distance jusqu'à l'UZ Draconis a été établie à 605,4 années-lumière, ce qui est cohérent avec les mesures de Gaia. En général, les propriétés déterminées de ce système suggèrent un âge d'environ 600 millions d'années et une légère métallicité supersolaire.
Les astronomes ont ajouté que les courbes de lumière de l'UZ Draconis montrent une modulation des taches stellaires sur la période orbitale, ce qui indique que les étoiles sont synchronisées par les marées. Cependant, ils n’ont trouvé aucune preuve de pulsations, d’excentricité orbitale ou de changements dans la période orbitale.
Écrit pour vous par notre auteur Tomasz Nowakowski, édité par Sadie Harley, et vérifié et révisé par Robert Egan, cet article est le résultat d'un travail humain minutieux. Nous comptons sur des lecteurs comme vous pour maintenir en vie le journalisme scientifique indépendant. Si ce reporting vous intéresse, pensez à faire un don (surtout mensuel). Vous obtiendrez un sans publicité compte en guise de remerciement.


