Très peu de temps après le Big Bang, l'univers a connu une brève phase où les quarks et les gluons erraient librement, pas encore rejoint dans des hadrons tels que des protons, des neutrons et des mésons. Cet état, appelé plasma de gluon Quark-Gluon, a existé pendant un bref moment jusqu'à ce que la température tombe à environ 20 billions de Kelvin, après quoi cette « hadronisation » a eu lieu.
Maintenant, un groupe de recherche en Italie a présenté de nouveaux calculs de l'équation d'État du plasma qui montrent à quel point la force forte était importante avant la formation des hadrons. Leur travail est publié dans Lettres d'examen physique.
L'équation de l'état de la chromodynamique quantique (QCD) représente le comportement collectif des particules qui éprouvent la force forte – un gaz de particules fortement en interaction à l'équilibre, avec son nombre et son énergie nette inchangée. Il est analogue à l'équation simple et bien connue de l'état d'atomes dans un gaz, PV = NRT, mais ne peut pas être si simplement résumé.
Mais semblable à un gaz classique, une collection de particules QCD à l'équilibre a une température, une pression, une densité d'énergie et une densité d'entropie, et peut subir des transitions de phase.
Aux fins ici, les premières transitions de phase importantes sont:
- La transition de phase électro-fowe se produisant environ 10-12 quelques secondes après le Big Bang à une température d'environ 1015 Kelvin (K), où les interactions électromagnétiques et faibles se divisent et les particules gagnent en masse via le mécanisme Higgs. Multiplié par la constante de Boltzmann, cette température est une échelle d'énergie d'environ 100 électronvolts Giga (GEV).
- La transition de la phase QCD est le point de hadronisation, où les quarks et les glluons dans le plasma de gluon Quark commencent à se séparer en protons, neutrons (chacun composé de trois quarks) et des mésons (généralement deux quarks), environ une microseconde (10-6) Après le Big Bang où la température de l'univers est de 1012 K, ou une échelle d'énergie de 150 millions d'électronvolts (MEV). Entre ces transitions de phase se trouve la phase de plasma de gluon Quark, qui dure environ une microseconde, créée et définitivement détectée par le programme SPS Heavy Ion au CERN en 2000.
Cependant, le QCD simple n'explique pas son équation d'état. La théorie de la perturbation, une arme majeure dans l'arsenal des physiciens, où les termes du diagramme de Feynman sont calculés via des pouvoirs de la constante de couplage, ne fonctionne pas pour la forte interaction comme pour la constante interaction électromagnétique et l'électrodynamique quantique (QED), où la constante de couplage est la petite constante de structure fine à environ 1/137.
Là, les pouvoirs de la constante de couplage – son carré, son cube, etc. – deviennent particulièrement de plus en plus petits. Le QCD est beaucoup plus compliqué car la constante de couplage n'est pas petite. La théorie est non abélienne (contrairement au photon de QED qui ne transporte aucun changement électromagnétique, les porteurs de force de QCD, les glluons, détiennent une charge de couleur (deux d'entre elles, en fait, une couleur et un anti-couleur).
De plus, la constante de couplage de QCD varie avec l'énergie de l'interaction – à de petites distances, l'interaction est petite, mais à de grandes distances, la force est énorme, se manifestant dans la liberté asymptotique.
Les physiciens se sont donc tournés vers le QCD en réseau pour calculer l'équation d'État.
Dans le QCD en réseau, l'espace-temps est divisé en points discrets sur un cube à quatre dimensions, et les propriétés de l'espace-temps des interactions QCD calculées ponctuelles de manière non perturbative, n'utilisant pas les diagrammes Feynman.
En fin de compte, la distance entre les points d'espace-temps est de plus en plus petite, mais il faut toujours des supercalculateurs pour exécuter la plupart des calculs QCD en réseau.
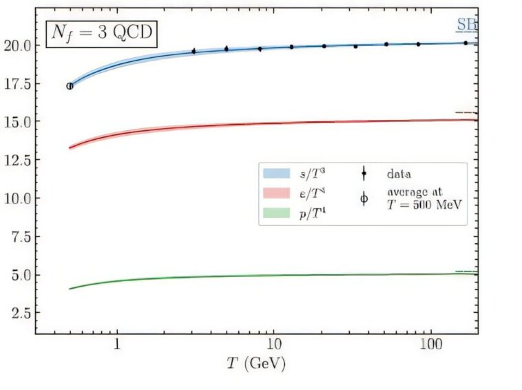
En utilisant le QCD en réseau, les chercheurs de l'Université de Milano-Bicocca et du National Institute for Nuclear Physics (INFN) en Italie ont décidé de déterminer l'équation d'état de QCD d'une température de 3 GEV à la transition électro-fowe.
Ils se sont concentrés sur un système fortement interagissant de particules de quarks sans masse, où la majeure partie de leur masse est attachée dans les champs de gluon qui les entourent et sont inférieurs à 500 meV / c2 à cette échelle de température (donc environ zéro par rapport à l'énergie du plasma.)
Les chercheurs disent que « la stratégie de calcul est entièrement nouvelle, et nous nous concentrons sur la théorie avec trois saveurs de quarks sans masse », développé par trois des co-auteurs en 2022. Bien que hautement technique, la nouvelle stratégie utilise des simulations de Monte Carlo pour étudier le réseau QCD à des températures basse à très élevées à partir de premiers principes, obtenant des résultats numériques à partir de sondage aléatoire.
Après calcul, le groupe a obtenu l'équation d'état pour la densité d'entropie d'un plasma de gluon Quark à partir de températures de 3 GeV à 165 GeV pour trois saveurs de quark, jusqu'à la température de la transition électro-diable, l'exprimant numériquement en tant que polynôme de septième ordre (somme des pouvoirs) d'une solide constante de force de force qui est elle-même une fonction de température.
Ils ont pris une limite numériquement pour réduire l'espacement du réseau à zéro, de sorte que leurs résultats s'appliquent au continuum du monde réel.
« Les artefacts du réseau se révèlent assez doux », concluent-ils. Il s'agit d'une grande amélioration des précédents simulations de plasma de gluon Quark, qui étaient limitées aux températures inférieures à 1 GEV.
À partir de la densité d'entropie, la pression et la densité d'énergie ont été calculées par des équations thermodynamiques standard. Ils ont également déterminé que les pressions qu'ils ont calculées ne pouvaient pas être décrites avec précision par un modèle de quarks et de gluons en interaction faiblement, indiquant que la force forte a été influente dans l'univers précoce plus tôt après le Big Bang qu'on ne le pensait précédemment.
Pour aller plus loin, ils disent qu'ils ont besoin d'ordinateurs plus rapides ou plus de temps informatique: « Les résultats numériques présentés ici peuvent en effet être systématiquement améliorés à l'avenir en investissant plus de ressources informatiques. »


