in

La matière noire s'est formée lorsque les particules rapides ont ralenti et sont devenues lourdes, la nouvelle théorie dit

La matière noire s'est formée lorsque les particules rapides ont ralenti et sont devenues lourdes, la nouvelle théorie dit

Une étude des chercheurs de Dartmouth propose une nouvelle théorie sur l'origine de la matière noire, la substance mystérieuse et invisible pensée pour donner à l'univers sa forme et sa structure. Ils disent que la force hypothétique façonnant l'univers est venue de particules qui se condensaient rapidement, comme la vapeur dans l'eau.

Les chercheurs rapportent Lettres d'examen physique Cette matière noire aurait pu se former au début de l'univers de la collision de particules sans masse à haute énergie qui ont perdu leur fermeture éclair et ont pris une quantité incroyable de masse immédiatement après son apparition, selon leurs modèles mathématiques.

On pense que la matière noire hypothétique existait sur la base d'effets gravitationnels observés qui ne peuvent pas être expliqués par la matière visible. Les scientifiques estiment que 85% de la masse totale de l'univers est la matière noire.

Mais les auteurs de l'étude écrivent que leur théorie est distincte car elle peut être testée à l'aide de données d'observation existantes. Les particules à faible énergie qu'ils suggèrent de composer de la matière noire auraient une signature unique sur le fond micro-ondes cosmique, ou CMB, le rayonnement restant du Big Bang qui remplit tout l'univers.

« Dark Matter a commencé sa vie en tant que particules relativistes presque sans masse, presque comme la lumière », explique Robert Caldwell, professeur de physique et d'astronomie et l'auteur principal du journal.

« C'est totalement contraire à ce que l'obscurité est censée être – ce sont des morceaux froids qui donnent aux galaxies leur masse », explique Caldwell. « Notre théorie essaie d'expliquer comment elle est passée de la lumière à être des morceaux. »

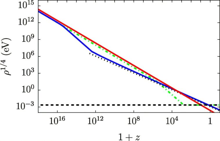
Des particules chaudes et en mouvement rapide ont dominé le cosmos après l'éclatement d'énergie connue sous le nom de Big Bang qui, selon les scientifiques, a déclenché l'expansion de l'univers il y a 13,7 milliards d'années. Ces particules étaient similaires aux photons, les particules sans masse qui sont l'énergie de base, ou quanta, de lumière.

C'est dans ce chaos que le nombre extrêmement important de ces particules se sont liés les uns aux autres, selon Caldwell et Guanming Liang, le premier auteur de l'étude et un senior de Dartmouth.

Ils théorisent que ces particules sans masse ont été rassemblées par les directions opposées de leur rotation, comme l'attraction entre les pôles nord et sud des aimants.

Alors que les particules se refroidissaient, Caldwell et Liang, disent, un déséquilibre dans les tours des particules a provoqué la chute de leur énergie, comme la vapeur se refroidissant rapidement dans l'eau. Le résultat a été les particules froides et lourdes que les scientifiques pensent constituer la matière noire.

« La partie la plus inattendue de notre modèle mathématique a été l'énergie qui chute qui relie l'énergie à haute densité et la basse énergie grumeleuse », explique Liang.

« À ce stade, c'est comme si ces paires s'apprêtaient à devenir la matière noire », explique Caldwell. « Cette transition de phase aide à expliquer l'abondance de matière noire que nous pouvons détecter aujourd'hui. Il est sorti de la grappe de particules extrêmement énergiques qui était le début de l'univers. »

L'étude introduit une particule théorique qui aurait initié la transition vers la matière noire. Mais les scientifiques savent déjà que les particules subatomiques appelées électrons peuvent subir une transition similaire, disent Caldwell et Liang.

À basse température, deux électrons peuvent former ce que l'on appelle des paires Cooper qui peuvent conduire l'électricité sans résistance et sont le mécanisme actif de certains supraconducteurs. Caldwell et Liang citent l'existence de paires de Cooper comme preuve que les particules sans masse dans leur théorie auraient été capables de condensation dans la matière noire.

« Nous avons regardé vers la supraconductivité pour savoir si une certaine interaction pourrait faire baisser l'énergie si soudainement », explique Caldwell. « Les paires de Cooper prouvent que le mécanisme existe. »

La métamorphose de ces particules de l'équivalent cosmique d'un double expresso dans la farine d'avoine d'un jour explique le vaste déficit de la densité d'énergie de l'univers actuel par rapport à ses débuts, dit Liang. Les scientifiques savent que la densité a diminué depuis le Big Bang alors que l'énergie de l'univers s'étend vers l'extérieur. Mais la théorie de Liang et Caldwell explique également l'augmentation de la densité de la masse.

« Les structures obtiennent leur masse en raison de la densité de la matière noire froide, mais il doit également y avoir un mécanisme dans lequel la densité énergétique tombe à proximité de ce que nous voyons aujourd'hui », explique Liang.

« Le modèle mathématique de notre théorie est vraiment beau car il est plutôt simpliste – vous n'avez pas besoin de construire beaucoup de choses dans le système pour que cela fonctionne », dit-il. « Il s'appuie sur les concepts et les délais dont nous savons qu'il existe. »

Leur théorie suggère que les paires de particules sont entrées dans un état froid, presque sans pression alors qu'ils devenaient plus lents et plus lourds. Cette caractéristique les ferait ressortir sur le CMB. Le CMB a été étudié par plusieurs projets d'observation à grande échelle et est l'objectif actuel de l'observatoire Simons dans le Chili et d'autres expériences telles que le CMB stade 4.

Les données existantes et futures de ces projets pourraient être utilisées pour tester la théorie de Caldwell et Liang, selon les chercheurs.

« C'est excitant », dit Caldwell. « Nous présentons une nouvelle approche pour penser et éventuellement identifier la matière noire. »

Les sédiments de grottes de 20 000 ans sur l'île d'Alaska fournissent de nouveaux indices climatiques

Les sédiments de grottes de 20 000 ans sur l'île d'Alaska fournissent de nouveaux indices climatiques

De nouvelles perspectives sur la diffusion des trous noirs et les ondes gravitationnelles dévoilées

De nouvelles perspectives sur la diffusion des trous noirs et les ondes gravitationnelles dévoilées