Une équipe internationale d'astronomes rapporte la découverte d'un nouveau binaire ultracompact du type CVN AM présentant des explosions peu fréquentes. La détection du nouveau système, désigné TCP J07222683 + 6220548, a été détaillé dans un article publié le 27 mai sur le arxiv serveur de préimprimée.
Les variables cataclysmiques (CV) sont des systèmes d'étoiles binaires qui incluent une naine blanche (WD) et un compagnon d'étoile normal à partir duquel le WD s'accumule. Les observations montrent que la luminosité des CV augmente irrégulièrement d'un grand facteur, puis revient à un état de repos.
Les soi-disant étoiles CVN AM (nommées d'après l'étoile Am Canum Venaticorum) sont un type rare de CV dans lequel un WD accrét une matière pauvre en hydrogène à partir d'un compagnon compact. Ces systèmes sont des binaires riches en hélium, ne montrant pas de traces d'hydrogène dans leurs spectres, avec des périodes orbitales allant de cinq minutes à environ une heure.
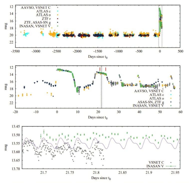
Maintenant, un groupe d'astronomes, dirigé par Alexander Tarasenkov de l'Académie russe des sciences, rapporte que le 20 janvier 2025, un nouveau CVN AM a été identifié comme faisant partie du New Milky Way Survey (NMW). Le système a été détecté lors d'une explosion de sept jours, qui a été suivi de multiples recommandations en janvier-mars 2025. Sa nature AM CVN a été confirmée par des observations de suivi.
Selon le journal, TCP J07222683 + 6220548, ou J0722, est situé à environ 1 874 années-lumière. Son spectre montre un continuum bleu avec des lignes d'absorption larges proéminentes d'hélium et n'a pas les lignes d'hydrogène Balmer. Un tel spectre est typique d'un système CVN AM dans une explosion.
L'explosion de J0722 a culminé à 12,45 MAG, ce qui en fait l'une des explosions CVN les plus brillantes jamais observées. De plus, l'amplitude absolue maximale de l'explosion, à un niveau de 3,4 MAG, suggère que le disque d'accrétion dans J0722 est vu presque face à face, ce qui maximise sa luminosité apparente.
L'étude a détecté une modulation périodique avec une période d'environ 46,87 minutes dans la courbe lumineuse de J0722. Les astronomes supposent que cette modulation représente des surhumps positifs – un type de variation photométrique observée dans certains novae nains et les systèmes connexes.
Les chercheurs ont noté que les superhumps sont devenus clairement visibles lors du premier renouvellement de J0722, qui a commencé le jour 18 et s'est terminé le jour 24 après l'explosion initiale. Ils ont ajouté qu'aucun changement convaincant dans la période de surhump n'a été détecté.
Résumant les résultats, les auteurs de l'étude ont souligné que la forme globale et la durée de l'explosion de J0722 sont similaires à celles trouvées dans les systèmes CVN AM à longue période. Leurs résultats mettent en évidence la nécessité d'observations de suivi pour identifier les nouveaux binaires CVN AM.
« Certains systèmes CVN AM qui dépassent ce suivi détaillé peuvent rester non reconnus parmi les candidats variables cataclysmiques nouvellement découverts », ont conclu les scientifiques.


